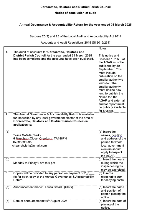
075 9559 8995

chparishclerk@gmail.com